Part 6. REGULATORY AND PROCEDURAL INFORMATION
Chapter 19. Waivers, Authorizations, and Exemptions
Section 1. Regulatory Waivers and Authorizations
19-1-1. PURPOSE
This section prescribes policy and guidelines for the grant or denial of a Certificate of Waiver or Authorization from Title 14, Code of Federal Regulations (14 CFR).
19-1-2. POLICY
- ATO Mission Support Services (AJV) and Flight Standards Service (AFS) are delegated the Administrator's authority to authorize or deny a Certificate of Waiver or Authorization (FAA Form 7711–1), and may further delegate this authority. Each office having delegated regulatory authority is responsible for authorizing or denying waivers, authorizations, or exemptions from the delegated regulatory sections. To waive or authorize the regulatory requirements of a 14 CFR part, section, or paragraph, the regulation must contain an authorization or waiver provision.
- Applications for a Certificate of Waiver or Authorization acted upon by a Service Center Operations Support Group (OSG) will normally be processed in accordance with guidelines and standards contained herein, unless found to be in the best interest of the agency to deviate from them.
- Applications for waiver or authorization that require both Air Traffic Organization and Flight Standards technical considerations must be handled jointly.
- The grant of a Certificate of Waiver or Authorization constitutes relief from the specific regulations stated, to the degree and for the period of time specified in the certificate, and does not waive any state law or local ordinance. Should the proposed operations conflict with any state law or local ordinance, or require permission of local authorities or property owners, it is the applicant's responsibility to resolve the matter.
19-1-3. RESPONSIBILITIES
- The Service Center Director is responsible for the authorization or denial of a Certificate of Waiver or Authorization except for those sections assigned to AFS.
- AFS has responsibility for the authorization or denial of Certificate of Waiver or Authorization from the following sections of 14 CFR:
- Section 91.119, Minimum safe altitudes: General;
- Section 91.135, Operations in Class A Airspace;
- Section 91.175, Takeoff and landing under IFR;
- Section 91.209, Aircraft lights;
- Section 91.303, Aerobatic flight;
- Any section listed in 91.905 as appropriate for aerobatic demonstrations and other aviation events;
- Section 105.21, Parachute operations over or into congested areas or open air assembly of persons, as appropriate for aerobatic demonstrations and other aviation events.
- Certificate Holder, compliance with the provisions of a waiver is the responsibility of the holder who must be thoroughly informed regarding the waiver and those actions required of them by any special provisions. The holder must be advised that it is their responsibility to ensure that all persons participating in the operation are briefed on the waiver.
19-1-4. PROCESSING CERTIFICATE OF WAIVER OR AUTHORIZATION (FAA FORM 7711-2) REQUESTS
- Requests for a Certificate of Waiver or Authorization may be accepted by any FAA facility and forwarded, if necessary, to the appropriate office having waiver authority. Those offices making the determination of whether an application should be processed by higher authority may forward the request to the appropriate Service Center Director. Requests requiring FAA Headquarters attention must be forwarded through the Service Center Director to the Director, Mission Support Services, Policy (AJV-P), for action.
- Requests must be coordinated with all concerned FAA elements, prior to approval, by the office that is most convenient to the applicant and having waiver authority, even though the proposed operation will be conducted within or extended into other jurisdictional areas. This procedure is intended to establish one office as the agency contact for an applicant and will preclude the need for the petitioner to deal with the FAA at various locations.
- Requests forwarded to FAA Headquarters for processing must be coordinated with appropriate stakeholders and include all pertinent facts, background information, recommendation(s), as well as the basis and reasons for requesting Headquarters action.
19-1-5. PROCESSING CERTIFICATE OF WAIVER OR AUTHORIZATION RENEWAL OR AMENDMENT REQUESTS
- A renewal request should be made by means of a new application. However, a request by another method is acceptable if its substance is essentially the same as the previous application or when, in the judgment of the waiver or authorization office, the request is sufficiently similar that new considerations are not required.
- An existing waiver or authorization may be amended either by re‐issuance or by letter.
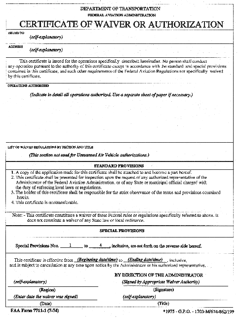
19-1-6. ISSUANCE OF CERTIFICATE OF WAIVER OR AUTHORIZATION (FAA FORM 7711-1)
Waivers and authorizations must be completed in accordance with the following instructions and must be signed only by the appropriate authority (see FIG 19-1-1 and Example). The FAA Form 7711-1 should be:
- Issued to an organization, whenever possible, in preference to an individual but indicate name and title of the individual acting for the organization.
- Specify the operations that are permitted by the waiver or authorization.
- Define the area and specify altitudes at which they may be conducted.
- Specify the regulation, or portion thereof waived by numerical and letter reference as well as title. This section is left blank for authorizations (e.g., unmanned air vehicle operations, etc.).
- Specify the effective and expiration dates, including hours of operation. The specific dates and hours of operation must allow sufficient time for the accomplishment of the operation and, if appropriate, an alternate date to cover cancellations that might be necessary due to adverse weather conditions.
- ATO issued waivers or authorizations may be made effective for a period of up to 24 calendar months in accordance with Flight Standards and ATO policies.
- Flight Standards may issue waivers for aerobatic practice areas (APAs) for a period of up to 36 calendar months.
- Restrict the waiver or authorization to the extent required by the operation. Further, any special provisions that are required to provide for an adequate level of flight safety and the protection of persons and property on the surface; for example: limitations, location, time periods, and type aircraft, must be specified and included as part of the waiver or authorization.
19-1-7. RETENTION OF CERTIFICATES OF WAIVER OR AUTHORIZATION
The issuing office must retain one copy of each waiver, authorization or denial, along with supporting data, for at least one year after the date of denial or expiration, as appropriate. Significant or unusual waivers or authorizations may be retained for longer periods.
19-1-8. WAIVER, AUTHORIZATION OR DENIAL PROCEDURE
The applicant must be advised in writing of the waiver or authorization approval or denial, and, if appropriate, what is required to obtain reconsideration.
- Applicant: The original waiver, authorization or denial, and a copy of the application must be forwarded to the applicant.
- Issuing Office: The original of the application and a copy of the waiver, authorization or denial must be retained by the issuing office.
- Washington Headquarters: Except for waivers or authorizations issued by AFS, forward copies of waivers, authorizations or written denials to the Washington Headquarters Rules and Regulations Group (AJV-P2).
- Other Distribution: Other than as specified above and as necessary to satisfy Service Center needs, distribution must be limited to those offices that have a need for the information. For parasail operations covered under paragraph 19-5-1, Service Centers must distribute approved waivers or authorizations to the appropriate AFS office.
19-1-9. CANCELLATION OF WAIVERS AND AUTHORIZATIONS
A waiver or authorization may be canceled at any time by the Administrator or the person authorized to grant the waiver or authorization, or the representative designated to monitor a specific operation. Generally, a waiver or authorization should be canceled when it is no longer required or there is an abuse of its provisions or unforeseen safety factors develop. Failure to comply with the waiver or authorization is cause for cancellation. Canceling offices must use the following procedures, as applicable:
- Immediately notify the holder and all appropriate FAA elements.
- Verify and document the basis for the cancellation.
- Notify the Service Center, as well as the issuing office.
- Provide the holder with written notice of cancellation, or written confirmation of a verbal cancellation, with copies to appropriate offices.
- Take any other action deemed necessary.
FIG 19-1-1
FAA Form 7711-1

EXAMPLE OF SPECIAL PROVISIONS
These special provisions are for suggested use only. You will need to modify them or develop new ones depending on the proponent and the operating conditions.
1. Contact the [name of FAA facility] at [telephone number], not less than 24 hours or more than 48 hours prior to conducting any [name of event], for the purpose of issuing a Notice to Airmen.
2. Contact the [name] Air Route Traffic Control Center at [telephone number], prior to and immediately after [name of event], for the purpose of providing real time notice of operations.
3. All persons connected with this [name of event] must be familiar with this waiver and its special provisions, as well as part 101, [specific section of 14 CFR].
4. [Any other special provision(s) as required].